ÔÚ¾ºÕùÈÕÒæÇ¿ÁÒµÄÖÆÒ©ÐÐÒµ£¬Æ¾Ö¤¹æÔò¡¢Ö¸ÄϵȹŰåģʽ¾ÙÐÐÉúÎïÆÊÎö£¬ÒѾÎÞ·¨Ë³Ó¦Ò»Ö±ÔöÌíµÄ×ÊÔ´¡¢Ê±¼ä¡¢Éú²úЧÂʺͼÓËÙ¾öÒéµÄÐèÇó¡£Í¨¹ýÒ»¸ö·Ö¼¶ÑéÖ¤ÊÊºÏÆäÓÃ;µÄPK LBAÒªÁìµÄ·½·¨£¬¿ÉÒÔÔÚÉúÎïÒ©¿ª·¢µÄÔçÆÚ½×¶Î×ö³ö¿ÆÑ§ºÏÀíµÄ¾öÒ飬´Ó¶øÌá¸ßÐÂÒ©¿ª·¢µÄЧÂÊ¡£
±¾ÎĽ«×ÅÖØÏÈÈݲ¢ÐÎòPK LBAÒªÁìÖÐУ׼ÇúÏßµÄÉè¼Æ¡¢ÌìÉú¡¢±à¼ÒÔ¼°ÄâºÏÄ£×ÓºÍÈ¨ÖØÑ¡ÔñµÄÏà¹ØË¼Ë÷ºÍ½¨Òé¡£ÓÉÓÚÆª·ùÓÐÏÞ£¬±¾ÎĽ«½ÓÄÉÉÏÏÂÆªµÄÐÎʽÀ´Õö¿ªÐðÊö£¬¾´Çë´¹×¢£¡
1.µ¼ÂÛ
У׼ÇúÏߣ¨Calibration curve£©´ú±íÁ˼ì²âµ½µÄÏìÓ¦±äÁ¿Óë±ê×¼²ÎÕÕ£¨±È£©Îreference standard£©Å¨¶ÈÖ®¼äµÄ¹ØÏµ£¬Õâ¸ö¹ØÏµ¼Ù¶¨Á˸ñê×¼²ÎÕÕÎïÄܹ»´ú±íÕæÊµ²âÊÔÑù±¾ÖеÄÄ¿µÄÆÊÎöÎanalyte of interest£©»ò´ý²âÎï¡£
У׼ÇúÏßÓÃÓÚͨ¹ý²åÖµÅÌË㶨Á¿µØ²â¶¨Ñù±¾ÖÐδ֪Ũ¶ÈµÄ´ý²âÎУ׼ÇúÏߵı¬·¢£¬ÊÇͨ¹ý½«´ý²âÎï¼ÓÈë±»ÅжÏΪÄÜÕæÊµµØ´ú±íÑù±¾µÄ»ùÖÊÖжøÐγÉУ׼Ʒ£¬Ëæºó×ñÕÕδ֪Ñù±¾ºÍÖÊÁ¿¿ØÖÆÑùÆ·£¨QC£©µÄÒÇÆ÷¶Á³öÖµ£¬È»ºóƾ֤У׼£¨»ò±ê×¼£©ÇúÏß¾ÙÐÐÄÚ²å´Ó¶øÅÌËãδ֪Ñù±¾µÄŨ¶È¡£
ΪÁËÓÅ»¯ÄâºÏ·ÇÏßÐÔУ׼ÇúÏߣ¬Ó¦µ±Ë¼Á¿Èý¸öÒòËØ£º
£¨1£©ÄâºÏƽ¾ùŨ¶ÈÓëÏìÓ¦µÄ¹ØÏµ£»
(2)¶Ô·ÇÏßÐÔ¼ÁÁ¿-ÏìÓ¦ÇúÏßÖеÄÒÑÖª²î±ðÂÊ£¨heteroscedasticity/non-constant response-error relationship£¬·Çºã¶¨µÄÏìÓ¦-Îó²î¹ØÏµ£©Ê¹ÓÃÊʵ±µÄÈ¨ÖØ£»
(3)ʹÓÃÊʵ±µÄÇúÏßÄâºÏËã·¨À´¹ÀËãÄâºÏµÄ²ÎÊý¡£
¶ÔÑù±¾¶¨Á¿µÄ׼ȷ¶ÈÈ¡¾öÓÚ¸ÃÆÊÎöÒªÁìµÄУ׼ÇúÏßµÄÎȽ¡ÐԺͿÉÖØ¸´ÐÔ£¬¸ÃÆÊÎöÒªÁì·´¹ýÀ´ÓÖÈ¡¾öÓÚ²ÎÕÕ£¨±È£©Îreference material£©ºÍÆäËû²âÊÔ×é·Ö£¨assay component£©µÄÐÔÄÜ¡£Ó¦¸ÃÔÚÒªÁ쿪·¢½×¶ÎÖг¹µ×ÆÀ¹ÀÅäÌåÁ¬ÏµÊ½²âÊÔ£¨LBA£©ÒªÁìµÄ×é³ÉÒòËØ£¨¼´ÊÔ¼Á£©µÄÐÔÄÜÌØÕ÷£¬ÕâЩ°üÀ¨µ«²»ÏÞÓÚ¹ÌÌå»òÀο¿µÄÍâò£¨Èç96¿×°å£©ºÍ²¶»ñ/¼ì²â¿¹Ì塣ͬʱ£¬Ó¦µ±Öƶ©Êʵ±µÄÍýÏ룬ÒÔ¼à¿ØÅú´Î¼äÏà¹ØÊÔ¼ÁµÄÒ»ÖÂÐÔ¡£
±ðµÄ£¬Ïà¹Ø¹æÔòÖ¸µ¼ÎļþºÍ¸ÃÁìÓòר¼Ò½ÒÏþµÄÖ¸µ¼ÐÔÎļþÖнç˵ÁËÉè¼ÆÐ£×¼ÇúÏßµÄÒ»Ñùƽ³£ÒªÇó¡¢Ð£×¼ÑùÆ·µÄÑéÊÕ±ê×¼ÒÔ¼°ÔõÑùÑ¡ÔñÊʵ±µÄ»Ø¹éÄ£×Ó¡£×ñÊØÕâЩÒÑÐû²¼µÄ×¼ÔòºÍÒªÇó¿ÉÌá¸ßУ׼ÇúÏߵĿÉÖØ¸´ÐÔ£¨¿çÔËÐкͿçÑо¿£©¡£
×ÜÖ®£¬Ã¿¸öÉúÎïÆÊÎöʵÑéÊÒ¶¼ÓÐÔðÈÎÔÚÆä±ê×¼²Ù×÷³ÌÐò£¨SOPs£©Öнç˵LBAУ׼ÇúÏßµÄÉè¼Æ¡¢±¬·¢¡¢ÑéÊպͱ༱ê×¼¡£±¾ÎÄÖ¼ÔÚΪ±¬·¢Ð£×¼ÇúÏßÒÔ¼°´¦Öóͷ£Ð£×¼Æ·Êý¾ÝµãÌṩ½¨æÅºÍ×î¼Ñ×ö·¨¡£ËäÈ»±¾ÎĵÄÄÚÈÝÒ²¿ÉÄÜÊÊÓÃÓÚijЩÉúÎï±ê¼ÇÎïµÄ¼ì²âÒªÁ죬µ«ÆäÖØµãÈÔÈ»ÊÇÓÃÓÚ¶¨Á¿Ò©´ú¶¯Á¦Ñ§(PK)µÄLBAsµÄУ׼ÇúÏß¡£ÆäËûËùÓеIJâÊÔÀàÐÍ»òÃûÌö¼Ôݲ»ÌÖÂÛ¡£
LBAsºÍÉ«Æ×ÆÊÎöÒªÁìµÄУ׼ÇúÏßÖ®¼ä±£´æ×ÅÒªº¦Çø±ð¡£ÔÚLBAsÖУ¬ÒÇÆ÷ÏìÓ¦¿ÉÄÜÓë´ý²âÎïµÄŨ¶È³ÊÕý±È¹ØÏµ£¨directly£©£¬Ò²¿ÉÄÜÓë´ý²âÎïŨ¶È³Ê·´±È¹ØÏµ£¨inversely£©£¬ÕâÈ¡¾öÓÚ¸ÃÆÊÎöÒªÁìÊǷǾºÕùÐÔÕվɾºÕùʽµÄ¡£ÎÞÂÛ½ÓÄɺÎÖÖÃûÌ㬿ÉÒÔʹÓðë¶ÔÊý×ø±êϵ£¨semi-log scale£©½«ÇúÏßת»»³ÉÏìÓ¦Óë´ý²âÎïŨ¶ÈÖ®¼äµÄSÐ͹ØÏµ¡£ÕâÓëÉ«Æ×ÆÊÎöÒªÁì²î±ð£¬ÔÚÉ«Æ×ÆÊÎöÖУ¬ÒÇÆ÷ÏìӦͨ³£ÊÇŨ¶ÈµÄÏßÐÔº¯Êý£¬Á½ÕßÔÚ´ó´ó¶¼Ð£×¼ÇúÏß¹æÄ£ÄÚÊdzʳÉÕý±ÈÀý¹ØÏµµÄ¡£¹ØÓÚÉ«Æ×·¨À´Ëµ£¬ÏßÐÔ¹ØÏµµÄËðʧÅú×¢¸ÃÒªÁìÒѾµÖ´ïÁËËüµÄ¼ì²â¼«ÏÞ¡£
LBAsÒªÁìÒÀÀµÓÚ´ý²âÎïÓëÁ¬ÏµÊÔ¼Á£¨È翹Ìå»òÊÜÌ岿·Ö£©µÄÏ໥×÷Ó㬶øÕâÓë¹Å°åµÄÉ«Æ×ÆÊÎö²î±ð£¬ÔڹŰåµÄÉ«Æ×ÆÊÎöÖУ¬´ý²âÎïµÄ¼ì²â²»ÒÀÀµÓÚÆäÓëij¸ö´ó·Ö×ÓµÄÁ¬Ïµ£¨binding£©¡£ÂѰ×ÖÊ-ÂѰ×ÖÊÏ໥×÷ÓõĶ¯Ì¬Æ½ºâÐÔ×Óµ¼ÖÂÁËLBAsµÄ·ÇÏßÐÔÏìÓ¦¡£±ðµÄ£¬ÓÉÓÚLBAsµÄЧÄÜÔںܺéÁ÷ƽÉÏÈ¡¾öÓÚÆäËùʹÓõÄÉúÎïÊÔ¼ÁµÄÐÔÄÜ£¬Òò´ËÆä¼ì²âЧ¹ûÍùÍùÌåÏÖ³ö½Ï´óµÄ±äÒìÐÔ£¨variance£©¡£
·ÇÏßÐÔµÄLBAУ׼ÇúÏßÏÞÖÆÁËÇúÏßÉ϶˺Í϶˵ÄŨ¶È-ÏìÓ¦µÄÏà¹ØÐÔ£¬Ê¹µÃÇúÏß´¦ÓÚÆ½Ì¨×´Ì¬£¬Òò´ËÐγÉSÐÍÇúÏß¡£Ôڵ䷶µÄsigmoidalУ׼ÇúÏßÖУ¬Ï²¿Æ½Ì¨£¨½¥½üÏßasymptote£©¼°ÆäÖÜΧ´ú±íÁËÅä¾°ÏìÓ¦£¬Éϲ¿Æ½Ì¨´ú±í¿¿½ü×î´óÏìÓ¦¡£Í¨³£ÒÔΪ4PLÄ£×ÓÊÇÄâºÏ´ËÐÎ״У׼ÇúÏßµÄÊ×Ñ¡¡£ÁíÍ⣬ÔÚУ׼ÇúÏߵĽ¥½üÏß(ÉÏ¡¢ÏÂÆ½Ì¨²¿·Ö)ÉϾÙÐж¨Á¿½«µ¼Ö±¬·¢½Ï²îµÄϸÃܶȺÍ׼ȷ¶È¡£ÕâÐ©ÌØÕ÷×îÖÕËõСÁËLBAÒªÁìµÄÓÐÓö¨Á¿¹æÄ££¬Ê¹µÃÑ¡ÔñºÏÊʵķÇÏßÐÔÊý¾ÝÄâºÏËã·¨±äµÃÔ½·¢Ö÷Òª¡£
ÓжàÖÖÉÌÒµÈí¼þ¿ÉÓÃÀ´Ö´ÐÐLBAsµÄ·ÇÏßÐԻع顣´ó´ó¶¼ÆÊÎöÒÇÆ÷ÖÆÔìÉ̾ùÓÐÌṩÓë×°±¸¼æÈݵķÇÏßÐԻعéÈí¼þ¡£ÊµÑéÊÒ¿ÉÑ¡Ôñ×°ÖÃ×ÔÁ¦Èí¼þ»òʹÓÃ×ÅʵÑéÊÒÐÅÏ¢ÖÎÀíϵͳ(LIMS)À´¾ÙÐлعéÄâºÏ£¬Ïêϸȡ¾öÓÚÄÄÖÖÈí¼þ¸üÄÜÖª×ãÆäÐèÒªºÍÒªÇó¡£
ÓÃÓÚÄâºÏLBAУ׼ÇúÏßµÄÈí¼þÓ¦¸Ã¾ßÓÐʹÓÃ4¸öºÍ5¸ö²ÎÊýlogisticÄ£×Ó£¨Four and five parameter logistic regression£¬4ºÍ5 PL£©¾ÙÐлعéÆÊÎöµÄÄÜÁ¦£¬²¢ÇÒÄܹ»£º
Ä¿½ñ£¬Ò»Ð©ÉúÎïÆÊÎöÖ¸ÄÏ»ò¹æÔòÎļþµÄÉúÎïÆÊÎö²¿·ÖÒѾ¶ÔУ׼±ê×¼ÇúÏßµÄ×îµÍÒªÇó¾ÙÐÐÁËÈ·¶¨¡£ÕâЩָµ¼ÐÔÎļþ¶ÔLBAÇúÏßµÄÐèÇóºÍÐÔÄÜÔ¤ÆÚͨ³£ÊÇÏ໥һÖµġ£±í1×ܽáÁËÀ´×ÔÃÀ¹úʳÎïºÍÒ©ÎïÖÎÀí¾Ö(FDA)¡¢Å·ÖÞÒ©Æ·ÖÎÀí¾Ö(EMA)¡¢ÈÕ±¾ÎÀÉú¡¢ÀͶ¯ºÍ¸£Àû²¿(MHLW)ºÍ°ÍÎ÷ÎÀÉúî¿Ïµ»ú¹¹(ANVISA)¶ÔУ׼ÇúÏßµÄÒªÇó¡£FDAºÍEMAÖ¸ÄÏÊǾø´ó´ó¶¼ÉúÎïÆÊÎöʵÑéÊÒ×ñ´ÓµÄÖ÷ÒªÖ¸ÄÏ¡£¸÷¸öÖÆÒ©³§ÉÌӦƾ֤¸÷×ÔÍýÏëËùÌá½»µÄÐÂÒ©ÉóºËî¿Ïµ»ú¹¹À´¾öÒé×ÔÉíÐèÒª×ñ´ÓµÄÖ¸ÄϹæÔò¡£

У׼±ê׼Ʒ£¨Calibrator standards£©ÊÇͨ¹ý½«ÒÑ֪Ũ¶ÈµÄ²ÎÕÕ£¨±È£©Ò©Îï¼ÓÈëµ½ÓëÑо¿Ñù±¾»ùÖÊÏàͬ»òÒ»Öµģ¬¾ÓÉÈÏÖ¤µÄ»ùÖÊ£¨matrix£©Öжø±¬·¢µÄ¡£ÕâЩУ׼±ê׼ƷµÄŨ¶È¡ª¡ªÏìÓ¦¹ØÏµÔòÈ·¶¨Á˸òâÊÔÒªÁìµÄУ׼ÇúÏß¡£ÔÚÉæ¼°¶àÖÖÒ©ÎïÁªºÏʹÓõÄÑо¿ÖУ¬Ñо¿Ñù±¾ÖеÄÿ¸ö´ý²âÎï¶¼ÐèÒªÒ»ÌõУ׼ÇúÏß¡£Ð£×¼±ê׼ƷµÄÖÆ±¸±ØÐè×ÔÁ¦ÓÚÖÊÁ¿¿ØÖÆÑùÆ·£¨QCs£©£¬ÒÔ×èֹDZÔÚµÄÒ©Îï¼ÓÈëÔì³ÉÎó²îµÄÀ©É¢»ò·Å´ó¡£
ÕâÒâζ×ÅУ׼±ê׼ƷºÍQCs¿ÉÄܲ»¿ÉʹÓÃÏàͬÖÐÐÄ¿â´æµÄÒ©Îï²ÎÕÕ£¨±È£©Æ·À´ÖƱ¸£¬µ«¿ÉÒÔͨ¹ýÒ»Á¬Ï¡ÊÍÒ©Îï²ÎÕÕ£¨±È£©Æ·µÄ³õ¼¶»òÖм¶¿â´æÀ´ÖƱ¸Ð£×¼±ê׼Ʒ¡£ÖƱ¸Ð£×¼±ê׼Ʒ²»ÐèÒªÔÚÿ¸öŨ¶ÈˮƽÉϵ¥¶ÀÍâ¼ÓÒ©Îï²ÎÕÕ£¨±È£©Æ·À´ÖƱ¸£¬Ö»¹ÜÕâÖÖ×ö·¨Òâζ×ÅÐèÔÚ¸ü¸ßÒ»¼¶µÄˮƽÉ϶ÔУ׼ÇúÏßµÄÖÊÁ¿¿ØÖÆ£¬²¢¿ÉÒÔ¼à²âÍâ¼ÓÒ©Îï²ÎÕÕ£¨±È£©Æ·µÄ׼ȷ¶È¡£ÎÞÂÛÒ©Îï²ÎÕÕ£¨±È£©Æ·µÄÖÐÐÄ¿â´æ×é³ÉÔõÑù£¬Ð£×¼±ê׼ƷӦ°üÀ¨ÖÁÉÙ95%µÄÑо¿Ñù±¾»ùÖÊ¡£
ʹÓÃLBAsÒªÁìµÄÆÚÍûÊÇÔÚ¿ÉÄܵÄÇéÐÎÏ£¬¾¡Ò»ÇÐÆð¾¢ÔÚÉúÎï»ùÖÊÖÐÖÆ±¸Ð£×¼±ê׼Ʒ£¬¸ÃÉúÎï»ùÖÊÔÚÎïÖÖ¡¢×é³É³É·ÝºÍ»ùÖÊÔ¤´¦Öóͷ£µÈ·½Ãæ±ØÐèÓëÑо¿Ñù±¾µÄ»ùÖÊÏàÆ¥Åä¡£ÀýÈ磬ÈôÑо¿Ñù±¾ÊÇδ¾ÓÉÂ˵ÄѪÇ壬ÄÇÃ´ÖÆ±¸Ð£×¼±ê׼ƷµÄ»ùÖÊÒ²±ØÐèÊÇÀ´×ÔÏàͬÎïÖÖµÄδ¾ÓÉÂ˵ÄѪÇå¡£ÐèÒª×¢ÖØµÄÊÇ£¬Ñо¿ÈËȺͨ³£ÊǰéÓÐÏà¹ØµÄ¼²²¡£¬¶øÐ£×¼Æ·»ùÖÊ£¨calibrator matrix£©ÔòÊÇÀ´×ÔÓÚ¿µ½¡µÄÊÜÊÔÕß¡£ÈôÊÇûÓÐÆäËû¿´´ý²âÎï×ö¶¨Á¿ÆÊÎöµÄÒªÁ죬ÄÇôÓÃÌæ»»»ùÖÊÀ´ÖƱ¸Ð£×¼Æ·Ò²ÊǺÏÀíµÄ£¬ÀýÈçµ±Ñо¿Ê¹ÓõĻùÖÊϡȱ»òºÜÄÑ»ñµÃʱ,µ±Ñо¿Ò©ÎïÓÐÄÚÔ´ÐÔͬԴÎïʱ,ÔÚ¶ÔÉúÎï±ê¼ÇÎï¾ÙÐмì²âʱµÈ¡£
µ±Ê¹ÓÃÌæ»»»ùÖÊÀ´ÖƱ¸Ð£×¼Æ·Ê±£¬¸ÃÉúÎïÆÊÎöÒªÁìÓ¦¸ÃʹÓÃÑо¿Ñù±¾»ùÖÊÖÆ±¸µÄQCsºÍÑо¿»ùÖÊÑ¡ÔñÐÔÑù±¾£¨study matrix selectivity sample£©¾ÙÐÐÑéÖ¤£¬²¢ÓëÌæ»»»ùÖÊÖÐÖÆ±¸µÄУ׼ÇúÏß¾ÙÐнÏÁ¿ºÍÆÀ¹À¡£³ý´ËÖ®Í⣬»¹½¨ÒéÆÊÎöÕß¾ÙÐÐÆäËûÊÔÑ飬ÒÔÖ¤ÊµÌæ»»»ùÖÊÓëÑо¿»ùÖʵÄÏ¡ÊÍÇúÏßÁ½ÕßÖ®¼äµÄ¿É±ÈÐÔ¡£Ò»ÖÖÆÕ±é½ÓÊܵÄÒªÁìÊDzâÊÔÉÏϽ¥½üÏß¡¢ÔöÌíÂÊ£¨growth rate£©ÒÔ¼°5PLÇúÏßÖÐ²î³Ø³ÆÒò×ӵĵÈͬÐÔ¡£Ä¿½ñÒµ½çÄÚÒÑÌá³öÔõÑù²âÊÔÆ½ÐÐÐÔ£¨parallelism£©µÄÒªÁ죬ƽÐÐÐÔ²âÊÔÊÇÒ»¸öÆÀ¹ÀLBAÒªÁìÏàÃé׼ȷÐԵĻù±¾ÊµÑ顣̫ͨ¹ýÎöÏ¡ÊͶԻùÖÊÖÐÄÚÔ´ÐÔ´ý²âÎﶨÁ¿µÄÓ°Ï죬¿ÉÒÔÔÚµ¥¸öʵÑéÖÐÆÀ¹À¸Ã²âÊÔÒªÁìµÄÑ¡ÔñÐÔ¡¢»ùÖÊЧӦ¡¢ËùÐèµÄ×îСϡÊÍÂÊ¡¢¿µ½¡ºÍ»¼²¡ÈËȺµÄÄÚÔ´ÐÔ´ý²âÎïµÄˮƽÒÔ¼°LLOQ¡£
ÕâЩµÈЧÐÔ²âÊԵĽÓÊܱê×¼ÉÐδȷ¶¨£¬µ«ÒÑÔÚÒµ½çÆÕ±éÌÖÂÛ¡£Í¼1ÌṩÁËÔÚÈËѪ½¬ÖÐÖÆ±¸µÄУ׼ÇúÏßµÄʾÀý£¬Í¬Ê±Ò²ÌṩÁËÔÚ»º³åÒº£¨Ìæ»»»ùÖÊ£©ÖÐÖÆ±¸µÄУ׼ÇúÏß¡£ËüÃÇÊÇÁ½ÌõƽÐеÄÇúÏß¡£

У׼ÑùÆ·¿ÉÓÃ100%»òÒÔ×îµÍÏ¡ÊͶÈ(minimum required dilution£¬MRD)Ï¡ÊͺóµÄ»ùÖÊÅäÖÆ¡£Ê¹ÓÃMRDÏ¡ÊÍ»ùÖʵÄÒªÁìµÄÀý×Ó°üÀ¨µ«²»ÏÞÓÚÓÐÊý»ùÖÊ»òÔÚ×Ô¶¯»¯Æ½Ì¨ÉÏÖ´ÐеÄÒªÁ죬ÔÚÕâЩƽ̨ÉÏʹÓÃ100%»ùÖÊ¿ÉÄÜ»áÓÉÓÚÓÐÏ޵Ŀɼ°ÐÔ£¨limited availability£©»òÓÉÓÚ»ùÖʵÄÕ³¶È¶ø³ÉΪÎÊÌâ¡£ÔÚÒªÁ쿪·¢Àú³ÌÖУ¬Ó¦Æ¾Ö¤²âÊÔÒªÁìÐÔÄÜÀ´¾öÒéУ׼ÑùÆ·ÊÇÓÃ100%µÄ»ùÖÊÕÕ¾ÉÓÃMRDÏ¡Ê͵ĻùÖÊÖÆ±¸£¬Ó¦Æ¾Ö¤ÏêϸµÄÏÖÕæÏàÐξÙÐÐÊʵ±µÄÆÀ¹À£¬ÒÔÈ·±£Ð£×¼ÑùÆ·ºÍQCµÄ½ÓÄÉÂÊÔÚÀíÂÛÖµµÄÔ¤ÆÚ¹æÄ£ÄÚ£¨ÀýÈ磬¡À20%£©¡£µ±ÔÚ100%»ùÖÊÖÐÖÆ±¸Ê±£¬Ð£×¼ÑùÆ·ÐèÒªÒÔÓÃÓÚQCsºÍÑо¿ÑùÄÚÇéͬµÄMRDÀ´Ï¡ÊÍ¡£Î´ÖªÑùÆ·»ØËãµÄŨ¶ÈÓ¦±¨¸æÎª100%»ùÖÊÖеÄŨ¶È¡£
ÔÚÉúÎïÆÊÎöÓ¦ÓÃÖУ¬Ñ¡ÔñÈÏÖ¤ºóµÄ»ìÏý»ùÖÊ£¨qualified matrix pool£¬QMP£©µÄÀú³ÌÖÁ¹ØÖ÷Òª¡£½¨ÒéÈÏÖ¤ºÍÖü´æ×ã¹»µÄ»ìÏý»ùÖÊ£¬È·±£×ãÒÔÓÃÀ´Íê³ÉÒªÁ쿪·¢¡¢ÑéÖ¤ºÍÖÁÉÙµÚÒ»´ÎÑо¿ÖÐÑùÌìÖ°Îö¡£»¹½¨Ò齫QMPÖü±£´æÓëQCsºÍÑо¿ÑùÄÚÇéͬµÄÌõ¼þÏ¡£ÀýÈ磬ÈôÊÇÑù±¾µÄÖü´æÎ¶ÈСÓÚ»ò¼´ÊÇ-65¡æ£¬ÔòQMPÒ²Ó¦Öü±£´æ¸ÃζȹæÄ£ÄÚ¡£
ÔÚÒªÁ쿪·¢Àú³ÌÖУ¬¿ÉÒÔɸ²é¡¢Ñ¡ÔñºÍºÏ²¢µ¥¸ö»ùÖÊÑù±¾»òµ¥¸ö»ìÏý»ùÖÊÀ´ÌìÉúQMP£¬ÉÌҵȪԴµÄ»ìÏý»ùÖÊÒ²¿ÉÄÜÊÊÓá£QMPɸ²éÓ¦°üÀ¨ÆÀ¹À¶ÔδÍâ¼ÓºÍÍâ¼ÓÁË´ý²âÎïµÄ»ùÖÊÑùÆ·µÄ¼ì²âÐźš£ÀýÈ磬³öÓÚɸ²éµÄÄ¿µÄ£¬¿ÉÒÔÔÚµ¥¸ö»ùÖÊÑù±¾¼ÓÈëÏ൱ÓÚLLOQˮƽµÄ´ý²âÎï¡£¾ßÓиßÅä¾°»ò¼Ó±ê½ÓÄÉÂÊȱ·¦¸ñµÄ»ùÖÊÑùƷӦɨ³ýÔÚQMPÖ®Íâ¡£»ùÖÊÑùÆ·µÄÑéÊÕ±ê×¼µÄÒ»¸öʵÀý¿ÉÒÔÊÇ£ºÊ¹ÓÃQMPÖÆ±¸µÄУ׼ÇúÏߣ¬ÖÁÉÙÓÐ80%µÄËùÓе¥¸ö»ùÖÊÑùÆ·µÄ¼Ó±ê½ÓÄÉÂÊÔÚÀíÂÛŨ¶ÈµÄ80%ÖÁ120%Ö®¼ä¡£QMPÓ¦¸ÃÄÜ´ú±íÑо¿ÈËȺ£¬Í¨¹ý»ìÏýÖª×ã½ÓÊܱê×¼µÄ¸öÌå»ùÖÊÑùÔÀ´ÖƱ¸¡£
LBAУ׼ÑùÆ·¿ÉÒÔÊÇÐÂÏÊÖÆ±¸µÄ»òÕßÀä¶³µÄ¡£²»ÉÙʵÑéÊÒÔÚËùÓн׶Îϰ¹ßʹÓÃÐÂÖÆ±¸µÄУ׼ÑùÆ·£¬°üÀ¨ÒªÁ쿪·¢¡¢Ñо¿Ç°ÑéÖ¤ºÍËæºóµÄÉúÎïÆÊÎö¡£ÐÂÏʵÄУ׼ÑùÆ·¿ÉÒÔ´ÓÔʼ»òÖÐÐIJο¼±ê×¼µÄ¿â´æ£¨original or intermediate reference standard stock£©Öе÷È¡¡£ÈôÊÇʹÓÃÖÐÐIJο¼±ê×¼£¬±ØÐèÔÚÐû²¼ÑéÖ¤±¨¸æÖ®Ç°È·¶¨ÆäÎȹÌÐÔ¡£ÔÚÑо¿Ç°µÄÒªÁìÑéÖ¤ÖУ¬Ê¹ÓÃÐÂÖÆ±¸µÄУ׼ÑùÆ·À´ÆÀ¹ÀÀä¶³µÄQCs£¬¿ÉÒÔÆðÔ´½¨ÉèQCsµÄÎȹÌÐÔ¡£
Ò»µ©ÆðÔ´È·Á¢ÁËQCµÄÎȹÌÐÔ£¬ÊµÑéÊҾͿÉÒÔʹÓÃÕâЩÐÅÏ¢À´ÖƱ¸ºÍ´¢/¶³´æµ¥¸öУ׼ÑùÆ·¡£ÈôÊǽ«LLOQºÍULOQÑùÆ·°üÀ¨ÔÚÎȹÌÐÔ²âÊÔÖУ¬ÇÒÎȹÌÐÔ²âÊÔ´°¿ÚÁýÕÖÁËУ׼ÑùÆ·µÄ´æ´¢ÆÚ£¬Ôò´ËÒªÁì¾ÍÊÇ¿ÉÒÔ½ÓÊܵġ£Ô¤ÏÈÈÏÖ¤ºÍ¶³´æÐ£×¼ÑùÆ·µÄÄ¿µÄÊÇïÔ̲âÊÔÔËÐÐÖ®¼äµÄ±äÒìÐÔºÍÌá¸ß²Ù×÷ЧÂÊ¡£¶³´æµÄУ׼ÑùÆ·Ó¦·Ö×°ÔÚ×ã¹»Ò»´ÎÐÔʹÓõÄÈÝÆ÷ÖУ¬²¢Ó¦×èֹУ׼ÑùÆ·µÄÖØ¸´ÈÚ¶³¡£
î¿Ïµ»ú¹¹ÎªÐ£×¼ÇúÏßµÄÉè¼ÆÌṩÁËÖ¸ÄÏ¡£ÒÔÏÂÊÇÖ¸ÄÏ×¼ÔòµÄ¼ò¶Ì×ܽá:
ULOQºÍLLOQ»®·Ö´ú±í¶¨Á¿ÆÊÎö¹æÄ£µÄÉÏÏÞºÍÏÂÏÞ£¬±ØÐè×÷ΪÑо¿Ç°ÑéÖ¤µÄÒ»²¿·Ö¾ÙÐÐÑéÖ¤¡£ÎªÁËÑéÖ¤LLOQºÍULOQУ׼ÑùÆ·£¬½ö½öÔÚÕâЩ¼¶±ðÉϰüÀ¨Ð£×¼ÑùÆ·ÊDz»·óµÄ£¬»¹ÐèÒªÔÚLLOQºÍULOQˮƽÉÏÖÆ±¸ÑéÖ¤ÑùÆ·(QCs)£¬ÕâЩQCs±ØÐè°üÀ¨ÔÚÑо¿Ç°ÑéÖ¤µÄ׼ȷ¶ÈºÍϸÃÜ¶ÈµÄÆÀ¹ÀÖС£ULOQУ׼ÑùÆ·±ØÐè»®·ÖÖª×ãÏà¶ÔÎó²î(RE)Ϊ¡À20%ºÍ±äÒìϵÊý(CV)Ϊ¡Ü20%µÄ½ÓÊܱê×¼£»LLOQУ׼ÑùÆ·Ôò±ØÐè»®·ÖÖª×ãFDAÖ¸ÄÏÖл®¶¨µÄ¡À25%µÄREºÍ¡Ü25%µÄCV£¬²Å»ª±»ÄÉÈëУ׼ÇúÏß¡£Ò»µ©¾ÓÉÑéÖ¤£¬LLOQºÍULOQˮƽУ׼ÑùÆ·½«³ÉΪУ׼ÇúÏßµÄÒ»¸ö×é³É²¿·Ö£¬²¢ÇÒ±ØÐè°üÀ¨ÔÚÿ´Î²âÊÔÔËÐÐÖС£
Ñо¿ÖÐÿ¸ö´ý²âÎïÔÚÿ´ÎÆÊÎö²âÊÔÔËÐÐÓ¦µ±ÓÐÒ»ÌõУ׼ÇúÏߣ¬Ð£×¼¹æÄ£±ØÐèÊʺϲ¢ÇкÏÑо¿ÑùÆ·Öдý²âÎïµÄÔ¤ÆÚŨ¶È¹æÄ£¡£Ò»Ñùƽ³£À´Ëµ£¬¿í´óµÄ¶¨Á¿¹æÄ£ÓÐÖúÓÚÒ»´ÎÐԵض¨Á¿ÆÊÎöº¬Óдó¹æÄ£´ý²âÎïŨ¶ÈµÄ´ó×ÚÑù±¾¡£ÏÁյ͍Á¿¹æÄ£ÔòÏÞÖÆÁ˸òâÊÔÒªÁìµÄÆÊÎöÄÜÁ¦£¬µ¼Ö²»ÐëÒªµÄÖØ¸´ÆÊÎö£¬¼´ÐèÒªÌØÊâÏ¡ÊÍ´Ó¶øÊ¹Ñù±¾Å¨¶È½øÈëУ׼ÇúÏß¹æÄ£¡£ËäÈ»½«´ý²âÎïŨ¶ÈΪÁãµÄУ׼ÑùÆ·½ç˵Ϊ²»º¬´ý²âÎïµÄ»ùÖÊÑùÆ·²»ÊDZØÐèµÄ£¬µ«¿ÉÄÜÊÇÓÐÒæµÄ¡£
ÏÖÔڵĽ¨ÒéÊǶÔLBAУ׼ÑùÆ·¾ÙÐÐÖØ¸´£¨duplicate£©ÆÊÎö£¬Ö»¹Üת±äÇ÷ÊÆÈç¸ßCVs£¬¿ÉÄÜÐèÒª¾ÙÐÐÈý´Î£¨triplicate£©¸´²â¡£Ö»ÓÐÔÚ¸ÃÒªÁìµÄÁ¿»¯¹æÄ£ÄÚ֤ʵÎúÔʼÏìÓ¦µÄÎȽ¡ÐԺ͸ßϸÃܶȵÄÇéÐÎÏ£¬²Å»ªÒÔΪʹÓõ¥´ÎÕÉÁ¿£¨µ¥¿×singlicate£©ÊǺÏÀíµÄ¡£
2012ÄêEMAÉúÎïÆÊÎöÖ¸ÄÏÖÐÌÖÂÛÁË·ÇÏßÐԻعéÄâÊÊʱ궨µãµÄ×÷Ó㬲¢ÔÚÕû¸öÐÐÒµÖÐÍÆ¼öʹÓÃ궨µã¡£Ãª¶¨µã±»½ç˵ΪÔÚ²âÊÔÒªÁìµÄ¶¨Á¿¹æÄ£Ö®ÉϺÍ֮ϵÄУ׼ÑùÆ·£¬µ«ËüÃDz»ÊÜÓëУ׼ÇúÏßµãÏàͬµÄÐÔÄÜÒªÇóµÄÔ¼Êø¡£Ãª¶¨µãµÄ¼ÛÖµºÍÔڻعéÆÊÎöʱʹÓÃ궨µã²¢²»ÊDZ»ÆÕ±é½ÓÊܵģ¬¿ÉÊǽ¨Ò齫ËüÃÇ×÷ΪҪÁ쿪·¢Àú³ÌµÄÒ»²¿·Ö£¬²¢ÆÀ¹ÀËüÃǶԸÄÉÆÕûÌ廨¹éÆÊÎöµÄ×÷Óá£
ʹÓÃ궨µãÊÇ·ñÄܸÄÉÆÇúÏßÄâºÏ£¬Ó¦»ùÓÚËùÌá³öµÄÊýѧËã·¨»ò¼ÓȨÒò×Ó£¬²¢Ó¦ÔÚ¸ö°¸»ù´¡ÉÏÈ·¶¨¡£Ãª¶¨µã¿ÉÄÜÌØÊâÓÐÖúÓÚÔöÇ¿ÇúÏßÄâºÏ£¬²»µ«ÔÚÌ«¹ý¿í´ó»òÏÁÕµÄУ׼ÇúÏßµÄÇéÐÎÏ£¬²¢ÇÒÔÚʹÓüÓȨÒò×ÓµÄУ׼ģ×ÓÖÐÒ²ÊÇÔÆÔÆ¡£ÔÚijЩÇéÐÎÏ£¬Î»ÓÚLLOQÒÔϵÄ궨µãÔöÇ¿ÁËÇúÏßµÄÄâºÏ£¬²¢ÓÐÖúÓÚLLOQÖª×ãÆä½ÓÊܱê×¼¡£
ÏÖÔÚî¿Ïµ»ú¹¹ÉÐδ¾ÍУ׼ÑùÆ·Ö®¼äµÄ¼ä¾àºÍULOQ/LLOQÐźűÈ×÷³öÃ÷ÎÄÖ¸µ¼¡£Ò»Ñùƽ³£ÍƼöʹÓÃÏàµÈµÄУ׼ÑùÆ·µÄ¼ä¾à£¬Èç½ÓÄɶÔÊý¿Ì¶È£¨ÀýÈ磬on a logarithmic scale of the power of 2£©£¬ÕâÓÐÀûÓÚ¸ÄÉÆ²âÊÔÒªÁìµÄÐÔÄÜ¡£
У׼ÑùƷŨ¶ÈµÄÑ¡Ôñ²¿·ÖÊÇ»ùÓÚÒÔϵÄÏÖʵ˼Á¿£º¼´ÔÚ¾ÙÐжà¸ö²âÊÔÔËÐÐʱ£¬Ò×ÓÚÖÆ±¸ºÍÎÞ¹ýʧµØ¸´ÖÆÐ£×¼Æ·Å¨¶È¡£½¨ÒéÆÊÎöÕßʹÓÃϵÁÐÏ¡ÊÍ£¨serial dilution£©µÄÒªÁ죬²¢Ê¹ÓÃÒ»¸öÀο¿µÄÏ¡ÊͱÈÀý£¨Ê¹ÓÃÓë±»ÆÊÎöµÄÏÖʵÑùÄÚÇéͬµÄ»ùÖÊÏ¡ÊÍУ׼Ʒ£©¡£×îÖÕЧ¹ûÊÇ£¬Ð£×¼Æ·ÔÚŨ¶È¹æÄ£µÄ¶ÔÊý¿Ì¶ÈÉϵľàÀë´óÖÂÔȳÆ/ÏàµÈµÄ¡£ÔÚÕâЩÌõ¼þÏ£¬RockeºÍJonesÈ·¶¨ÁËУ׼ƷµÄ×î¼ÑÏ¡ÊͱÈÀý£¬¸Ã±ÈÀýͨ³£Îª2£º1»ò3£º1¡£2£º1µÄϵÁÐÏ¡ÊÍÓë6¸öУ׼ƷŨ¶È½«±¬·¢Ò»ÏµÁÐÈç1X£¬2X£¬4X£¬8X£¬16X£¬32X£¨Ï¡Êͱ¶±ÈΪ2n: n = 0,1,2,3,4,5µÄÇúÏߣ©¡£¹ØÓڵ䷶µÄÏìÓ¦µÝ¼õÇúÏߣ¨D<A£©£¬RockeºÍJonesµÄÑо¿Ò²ÏÔʾ£¬ÈôÊÇʹÓÃ×î¼Ñ¼ä¾à£¬Ð£×¼Æ·Å¨¶ÈÇúÏßµÄÖеãÓ¦ÂÔ¸ßÓÚÔ¤ÆÚµÄIC50Ũ¶È£¨µ±LBAÓÃÓÚ»îÐÔ²â׼ʱ£©¡£ÕâÒâζ×ÅÔÚÇúÏß½ÏС·½²î£¨variance£©µÄÇøÓòÓиü¶àµÄУ׼µã¡£¹ØÓÚÉÏÊö2£º1µÄÏ¡ÊͱÈÀý£¬Ó¦µ÷½âX£¬ÒÔ±ãËùÔ¤ÆÚµÄIC50 Ũ¶ÈλÓÚ8XÏ¡Ê͵ÄУ׼Ũ¶ÈµãÖÜΧ¡£¿ÉÒÔÌí¼ÓÌØÁíÍâУ׼ÑùÆ·£¨ÈôÊÇÒѰüÀ¨ÔڻعéÄ£×ӵįÀ¹ÀÖУ©À´¸üºÃµØ½ç˵У׼ÇúÏߵĹյ㣨inflection point£©¡£
ÔÚLLOQÖÜΧ¼ÓÈë¸üϸÃÜÏàÁÚµÄУ׼ÑùÆ·¿ÉÄÜÓÐÖúÓÚÔÚLLOQʧЧʱ£¬½«Ñ¸ËٶȵÄËðʧ½µµ½×îµÍ¡£ÔÚУ׼ÇúÏßÖаüÀ¨ÁãŨ¶ÈµÄУ׼ÑùÆ·²»ÊÇî¿Ïµ»ú¹¹µÄÒªÇó»ò±ê×¼×ö·¨£¬È»¶ø£¬ÈôÊÇÒ»¸öʵÑéÊÒÑ¡Ôñ½«Áã×÷ΪУ׼ÇúÏßÄâºÏµÄÒ»²¿·Ö£¬Ôò½¨ÒéÔÚLLOQºÍÁãУ׼ÑùÆ·Ö®¼äÁôÓÐ×ã¹»µÄ¼ä¾à£¬ÒÔ±£»¤LLOQ²»»áʧ°Ü¡£ÀýÈ磬2012ÄêµÄEMAÖ¸ÄÏ»®¶¨LLOQµÄÐźÅÖÁÉÙÊÇ¿ÕȱÑù±¾ÐźŵÄ5±¶¡£Ã¿¸öʵÑéÊÒӦƾ֤²âÊÔÒªÁìµÄЧÄÜ£¨performance£©ÎªÆäÈ·¶¨Êʵ±µÄ¼ä¾à¡£
ULOQ/LLOQŨ¶È±ÈÊܲâÊÔÃûÌã¨format£©¡¢Æ½Ì¨£¨platform£©ºÍÊÔ¼ÁÌØÕ÷µÄÓ°Ï졣ʵÑéÊÒµÄÄ¿µÄÓ¦¸ÃÊÇ×î´óÏ޶ȵØÌá¸ßULOQ/LLOQŨ¶È±È£¬²¢¿ÉÉ趨Æä×îµÍÄ¿µÄ£¬Èç10/1¡£
Ñ¡ÔñÒ»¸öºÏÊʵķÇÏßÐԻعéÄ£×ÓÐèÒª¾Óɶà´Îµü´ú²Å»ª»ñµÃLBAУ׼ÇúÏßµÄ×î¼ÑÄâºÏ¡£ÏÖÔÚµÄî¿ÏµÖ¸ÄÏÊǽ¨ÒéʹÓÃÄܹ»»ñµÃ×ã¹»ÄâºÏ¶ÈµÄ×î¼òÆÓÄ£×ÓÀ´¾ÙÐÐÄâºÏ£¬½¨ÒéÔÚÆÀ¹ÀÈκοÉÄܵÄÈ¨ÖØÖ®Ç°£¬Ê×ÏÈÑ¡Ôñ»Ø¹éÄ£×Ó¡£ÆÀ¹ÀÈ¨ÖØÄÜ·ñ¼õÇá²î±ðŨ¶ÈϲâÊÔÏìÓ¦²»µÈͬµÄ±äÒìÐÔÒ²ºÜÖ÷Òª¡£
±ðµÄ£¬»¹ÐèҪ˼Á¿µÄÒ»¸öÒªº¦²ÎÊýÊǿɱ¨¸æµÄ²âÊÔЧ¹ûµÄÖÊÁ¿£¬¶ÔËüµÄ˼Á¿Ó¦¸ÃÓâÔ½¶ÔÄ£×ÓÄâºÏÖÊÁ¿µÄ˼Á¿£¬²¢ÇÒ¿ÉÒÔͨ¹ý׼ȷ¶È¾ÙÐÐÆÀ¹À¡£ÓÉÓÚ׼ȷ¶ÈÌáÒª£¨Accuracy profile£©ÓÐÖúÓÚÖÖÖÖÄâºÏÄ£×ӵĿÉÊÓ»¯¡£±ØÐèÇ¿µ÷µÄÊÇ£¬ÏÖÔÚµÄÑо¿ÎÄÏײ»ÃãÀøÈçϲÙ×÷£º£¨1£©Ê¹ÓÃÏßÐÔº¯ÊýÀ´½üËÆSÐÎÇúÏߣ»£¨2£©¶ÔÊý¾Ý¾ÙÐжÔÊý-¶ÔÊýת»»£¨log-log transformation£©À´Ê¹µÃ¹ÌÓеķÇÏßÐÔ¹ØÏµ½üËÆÓÚÏßÐÔ¡£
У׼ÇúÏß³£ÓõķÇÏßÐÔÄ£×ÓÊÇ4PLºÍ5PL£¬¿ÉÒÔͨ¹ýÐí¶à×Ô¶¯»¯Èí¼þʵÏÖÄâºÏ¡£ËäÈ»¿ÉÒÔʹÓÃÆäËûµÄ·ÇÏßÐÔÄ£×Ó£¬µ«ÐëÉóÉ÷ÇÒÓ¦¶Ô4PLºÍ5PLÄ£×Ó²»ÊÊÓõÄÌØÊâÇéÐμÓÒÔ֤ʵ¡£
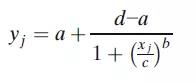
4PLÄ£×Ó×î³£¼ûµÄ²ÎÊý»¯ÐÎʽÊÇ£º

ÆäÖÐyjÊǶÔӦŨ¶ÈxjµÄÏìÓ¦£¬aΪÉϽ¥½üÏߣ¬dΪϽ¥½üÏߣ¬cΪÇúÏ߹յ㴦µÄŨ¶È£¬bΪÉú³¤Òò×Ó¡£¸ÃÄ£×ÓµÄÒ»¸öÌØµãÊǹյãÖÜΧµÄ¶Ô³ÆÐÔ£¬¶ø¹Õµã¶ÔÓ¦ÓÚdºÍaÖ®¼ä¾àÀëµÄÒ»°ë¡£Õâ¸öÄ£×ÓËäȻҲ¿ÉÓ¦Ó㬵«Ëüͨ³£±¬·¢µÄÊÇÒ»¸ö²î³Ø³ÆµÄУ׼ÇúÏߣ¬Òò¶øÐèҪʹÓÃ5PLÄ£×ÓÄâºÏ¡£
5PLÄ£×ÓµÄÒ»Ñùƽ³£²ÎÊý»¯ÐÎʽÊÇ£º

ÆäÖÐgÊÇ²î³Ø³ÆÒò×Ó¡£µ±g=1ʱ£¬5PLº¯ÊýÓë4PLº¯ÊýÍêÈ«µÈ¼Û¡£Í¼2˵Ã÷Îú4PLºÍ5PLÇúÏßÖ®¼äµÄ²î±ð¡£

LBAУ׼ÇúÏßÄâºÏµÄÁíÒ»¸ö³£¼ûÌôÕ½ÊDzî±ðУ׼ÑùƷŨ¶ÈÏÂÏìÓ¦µÄ²»ÏàµÈ±äÒìÐÔ£¨unequal variability£©£¬¼´ÏìÓ¦µÄÔëÉù£¨variance£©Í¨³£²»ÊǺ㶨µÄ£¬¶øÊÇËæ×ÅÏìÓ¦¶ø×ª±ä£¬ÕâÖÖÕ÷Ïó±»³ÆÎªÒì·½²îÐÔ£¨heteroscedasticity£©£¬¿ÉÒÔͨ¹ý¶ÔÄ£×Ó¾ÙÐмÓȨ´¦Öóͷ££¬Ê¹ÆäÓëŨ¶È¹æÄ£ÄÚÏìÓ¦µÄ¿É±äÐԳɱÈÀý¡£ÈôÊÇÓ¦¶ÔÒì·½²îÐÔÊʵ±£¬Ð£×¼ÇúÏßÄâºÏµÄÖÊÁ¿Ôò¿ÉÒÔÌá¸ß¡£Ó¦¶ÔµÄ»ù±¾Í·ÄÔÊÇÔÚÌåÏÖ³ö½Ï¸ß±äÒìµÄÏìÓ¦ÉÏïÔÌÆä"È¨ÖØ"¡£»»¾ä»°Ëµ£¬Ð£×¼ÇúÏßÓëµÍ±äÒìÊý¾Ý¸üϸÃܵØÄâºÏ£¬²¢ÔÊÐíÉÔ΢ƫÀë½Ï¸ß±äÒìµÄÊý¾Ý£¬ÒÔÕâÖÖ·½·¨¼ÓȨ¿É»ñµÃ¸ü¿í·ºµÄ¶¨Á¿¹æÄ££¬²¢ÔڸùæÄ£ÄÚÌá¸ß׼ȷ¶ÈºÍϸÃܶȡ£ÈôÊDz»Ê¹ÓÃÊʵ±µÄÈ¨ÖØ£¬½«»áµ¼ÖÂLLOQºÍULOQÖÜΧµÄ²åÖµÓиü´óµÄÎó²î£¨bias£©ºÍ²»Ï¸Ãܶȣ¨imprecision£©¡£Êʵ±Ê¹ÓÃÈ¨ÖØ¿ÉÒÔïÔÌÖØ¸´²âÊÔµÄÏìÓ¦ÖµÖеIJ»ÏàµÈ·½²î£¨unequal variance£©¡£
´ó´ó¶¼Èí¼þ¶¼¾ßÓÐÖ´ÐмÓȨ»Ø¹éËùÐèµÄ¹¦Ð§¡£Èí¼þͨ³£»áÑ¡Ôñ³£ÓõÄÈ¨ÖØ£¬Èç1/YºÍ1/Y2£¬²¢Í¨¹ýÆÀ¹ÀÏìÓ¦-Îó²î¹ØÏµ£¨response-error relation£©À´Ñ¡Ôñ×î¼ÑµÄÈ¨ÖØº¯Êý¡£1/YµÄÈ¨ÖØÔöÇ¿ÁËÇúÏߵײ¿µÄµã£¬1/Y2µÄÈ¨ÖØÔöÇ¿ÁËÇúÏß¶¥²¿ºÍµ×²¿µÄµã¡£ÉÐÓÐÆäËûÈ¨ÖØÒò×ӺͼÓȨҪÁìҲͬÑù¿ÉÒÔʹÓ㬲¢¿ÉÄÜÄܹ»¸üºÃµØÖª×ãÌØ¶¨²âÊÔÒªÁìµÄÐèÇó¡£
ËäÈ»ÇúÏߵķǶԳÆÐÔºÍÒì·½²îÐÔ£¨heteroscedasticity£©ÊÇÇúÏßÄâºÏµÄÖ÷Ҫ˼Á¿ÒòËØ£¬µ«ÈôÊÇûÓÐÊʵ±µÄÔ¤ÆÀ¹À£¬½«ËüÃǰüÀ¨ÔÚÄ£×ÓÖпÉÄܻᵼÖÂÄâºÏÒ»¸ö¹ýÓÚÖØ´óµÄÄ£×Ó¡£ÔÚУ׼ÇúÏßÖаüÀ¨·´Ó¦²âÊÔÒªÁì×ÔȻת±äµÄ²ÎÊý¿ÉÄܻᵼÖ»ØËãÎó²îºÍÔöÌíËù±¨¸æµÄЧ¹ûµÄÎó²î£¨bias£©¡£
×ö»Ø¹éÆÊÎöʱ£¬ÓÐÐí¶à²î±ðµÄÒªÁì¿ÉÓÃÓÚͳ¼ÆÆÀ¹ÀÄ£×ÓÄâºÏµÄÖÊÁ¿¡££¨°üÀ¨R2ºÍ¾ù·½Îó²î£¨root mean square error£©¡£µ«ÕâЩ²ÎÊý²¢·ÇÊÊÓÃÓÚËùÓÐÇéÐΣ¬ËüÃǵÄÉè¼ÆÄ¿µÄÊǽ«ÏìÓ¦µÄÎó²î×îС»¯£¬¶ø²»Êǽ«Ëù±¨¸æµÄЧ¹ûµÄÎó²î×îС»¯¡£±ðµÄ£¬Anscombe¡¯s quartetÅú×¢£¬¸ß¶È²î±ðµÄÊý¾Ý¿ÉÒÔ»ñµÃÏàËÆµÄÄâºÏÖÊÁ¿£¬µ«²¢²»¿É°ü¹Ü·´ÏòÕ¹ÍûµÄÏàËÆ¡£×¼È·¶ÈÇúÏߣ¨accuracy profile£©ÊÇÒ»ÖÖ»ùÓÚδÀ´¿É±¨¸æÐ§¹ûµÄÌæ»»ÐÔͼÐÎÒªÁ죬Ëü½«¸÷Ũ¶ÈˮƽϲâÊÔËùµÃµÄ¿É±¨¸æÐ§¹ûÓëÕæÊµÖµÖ®¼äÏà¶Ô²î±ðµÄb-ÆÚÍûÈݲîÇø¼ä£¨b-expectation tolerance interval£©ÁªÏµÆðÀ´¡£
b-ÆÚÍûÈݲîÇø¼ä±»½ç˵Ϊij¸ö±ÈÀý(b%)µÄδÀ´Ð§¹ûÔ¤ÆÚ»áϽµµÄÇø¼ä¡£¸Ã¹¤¾ß¿ÉÒÔÀû±ãµØ¿ÉÊÓ»¯Îó²î¡¢Ï¸ÃܶȺͶ¨Á¿ÏÞ£¨limit of quantitation£¬LOQ/¶¨Á¿ÏÞ£¬ÔÚÕâÀï׼ȷ¶ÈÁè¼ÝÁ˿ɽÓÊܵĹæÄ££©£¬ÌṩÁËÒ»ÖÖ¿ÉÒÔÓÃÀ´½ÏÁ¿¶à¸öÄ£×ӵļòÆÓÒªÁ죬²¢Àû±ã´ÓÖÐÑ¡Ôñ¾«¶È×î¸ßµÄ¿É±¨¸æÐ§¹ûµÄÄ£×Ó¡£
ͼ4¸ø³öÁËÁ½Ìõ²î±ðµÄУ׼ÇúÏß¼°Æä»ùÓÚ15%Ïà¶ÔÎó²îµÄÏà¹Ø×¼È·¶ÈÇúÏߣ¨RE£¬½ç˵ΪʵÑéÖµºÍÀíÂÛÖµÖ®¼äµÄ²îÖµÓëÀíÂÛÖµÖ®±È£©µÄ½ÓÊܼ«ÏÞ£¨acceptance limit£©¡£15%Ïà¶ÔÎó²îµÄ½ÓÊܼ«ÏÞÊÇÖ¸ÄÏÍÆ¼öµÄ¡£

ÖÁÉÙÓÐ75%µÄУ׼ÑùÆ·£¬°üÀ¨LLOQºÍULOQУ׼ÑùÆ·£¬°´»ØËãŨ¶È£¬±ØÐèͨ¹ý½ÓÊܱê×¼£º¼´¸Ã»ØËãŨ¶ÈÔÚÀíÂÛŨ¶ÈµÄ¡À20%(µÍ¶¨Á¿ÏÞΪ¡À25%)µÄ¹æÄ£ÄÚ£¬¶øCVsµÍÓÚ20%£¨ÔڵͶ¨Á¿ÏÞΪ<<>25%£©(Áí¼û±í1)¡£¹ØÓÚÿ¸öУ׼ÑùÆ·£¬Ó¦¸Ã±¨¸æ»ØËãŨ¶ÈµÄCVs£¬¶ø²»ÊÇÒÇÆ÷ÏìÓ¦µÄCVs¡£Ê×ÏÈ£¬Ó¦¸Ãƾ֤ϸÃܶÈɨ³ýУ׼ÑùÆ·¡£Ã¿´Îɨ³ýºó£¬Ó¦ÖØÐ¶ÔÇúÏß¾ÙÐлعéÆÊÎöºÍÆÀ¼Û¡£Æä´Î£¬Ó¦¸ÃÒ»´Îֻɨ³ýÒ»¸öУ׼ÑùÆ·£¬²¢ÇÒ°´Îó²î¾ÞϸµÄ˳Ðò£¬´ÓÓµÓÐ×î¸ßÎó²î£¨RE£©µÄУ׼ÑùÆ·×îÏÈ¡£ÁíÍ⣬ֻÓÐÔÚÐèҪʱ²Åɨ³ýÆäËûУ׼ÑùÆ·¡£
ÆÁÕÏ£¨masking£©±»½ç˵Ϊ£ºÔÚ±ê×¼ÇúÏ߻عéʱ²»Ê¹ÓÃij¸öУ׼µã£¬¶ø¸ÃУ׼µãµÄÊýÖµÈÔ±£´æÓÚϵͳÖС£ÔÚÌÖÂÛÇúÏß±à¼Ê±£¬ÆÁÕϺÍɨ³ý£¨exclusion£©ÕâÁ½¸öÊõÓï¿ÉÒÔ½»Á÷ʹÓá£Ã¿¸öAУ׼µãͨ³£ÊÇÔÚ΢¿×°åµÄÁ½¸ö¿×£¨¸´¿×£©ÖоÙÐÐÖØ¸´£¨duplicate£©²âÊÔ¡£ÈôÊÇÇúÏßÄâºÏÊÇ»ùÓÚ¸´¿×²âÊÔµÄÆ½¾ùÖµ£¬ÔòÖ»Óе±Á½¸ö¿×µÄ²âÊÔЧ¹û¶¼Öª×ã½ÓÊܱê׼ʱ£¬²Å»ª½ÓÊܸÃУ׼µã¡£ÔÚÕâÖÖÇéÐÎÏ£¬²»½¨Òéɨ³ýÒ»¸ö¿×µÄÊýÖµ£¬¶øÖ»Ê¹ÓÃÁíÒ»¸ö¿×µÄЧ¹û¡£ÔÚijЩÊÔÆ½Ì¨£¬ÈçSingulex£¬Ã¿¸öУ׼µã¿ÉÄܲâÊÔÈý´Î£¬ÔÚÕâÖÖÇéÐÎÏ£¬Èý¸ö¿×ÖÐÖÁÉÙÓÐÁ½¸ö±ØÐèͨ¹ý£¬²Å»ª½ÓÊܸÃУ׼µã¡£
ÈôÊÇLLOQºÍULOQУ׼µãµÄËùÓÐÖØ¸´²âÊÔ¶¼Ê§°Ü£¬ÄÇô¸ÃÑéÖ¤ÔËÐоÍʧ°ÜÁË£¬Ó¦¸ÃÊÓ²ìʧ°ÜµÄ¿ÉÄÜÔµ¹ÊÔÓÉ£¨EMA 2012£©¡£±à¼Ð£×¼ÇúÏßÖ»ÄÜÔÚ¿ÉÒÔÈ·¶¨Ê§°ÜÔµ¹ÊÔÓɵÄÇéÐÎϾÙÐУ¬ÀýÈ磺¼Í¼ÔÚ°¸µÄÍâ¼ÓÒ©ÎïÎó²î£¬»òÒÆÒºÆ÷Îó²î£¬»òʹÓÃÁËÏÈÑéµÄͳ¼Æ±ê×¼¡£Ð£×¼ÇúÏߵı༱ØÐè×ÔÁ¦ÓÚQCµÄÆÀ¹À£¬ ÕâÒâζ×Å£¬²»¿Éɨ³ýУ׼µãÒÔÀû±ãQCµÄͨ¹ý£¬³ý·Ç²»ÇкÏÓëУ׼ÑùÆ·Ïà¹ØµÄ½ÓÊܱê×¼¡£Ã¿¸öʵÑéÊÒ±ØÐèÔÚÆä±ê×¼²Ù×÷³ÌÐòÖнç˵ÔõÑùÆÁÕϺͱà¼Ð£×¼µã¡£
ÆÁÕϺÍɨ³ýУ׼ÑùÆ·µÄÒ»Ñùƽ³£×¼ÔòÈçÏÂ:
Ò»µ©²âÊÔÔËÐÐͨ¹ý£¬Ã¿¸öÑù±¾¶¼¿ÉÒÔÆ¾Ö¤Ð£×¼ÇúÏß¾ÙÐÐÆÀ¹À¡£ÈôÊÇÒ»¸öδ֪Ñù±¾Ð§¹ûµÄCV%¿É½ÓÊÜ£¬²¢ÇÒÆ½¾ùŨ¶ÈÂäÔÚ¸ÃÒªÁìµÄ¶¨Á¿¹æÄ£ÄÚ£¬Ôò¸ÃЧ¹û¿ÉÒÔ±»±¨¸æ¡£ÈôÊÇÑù±¾µÄƽ¾ùŨ¶ÈÁè¼ÝÁ˶¨Á¿¹æÄ££¬ÔòÓ¦ÔÚÊʵ±µÄÏ¡ÊͺóÖØÐ²âÊÔ¸ÃÑù±¾£¬ÒÔ»ñµÃÔÚ¶¨Á¿¹æÄ£ÄÚµÄЧ¹û¡£ÈôÊÇÒ»¸ö²âÊÔЧ¹ûÔÚ¶¨Á¿¹æÄ£ÄÚ£¬¶øÁíÒ»¸ö¸´²âЧ¹ûµÍÓÚLLOQ»ò¸ßÓÚULOQ£¬ÔòÓ¦¸Ã±¨¸æÆ½¾ùÖµ£¬Ìõ¼þÊÇÆ½¾ùÖµÔÚ¾ÓÉÑéÖ¤µÄ¶¨Á¿¹æÄ£ÄÚ£¬ÇÒCV%ÊǿɽÓÊܵġ£Ñù±¾Å¨¶ÈЧ¹ûÓ¦±¨¸æÎª100%µÄ»ùÖÊ£¬ÔÚ˼Á¿Á˲âÊÔÒªÁìµÄMRDºÍÈÎºÎÆäËüÏ¡Ê͵ı¶ÊýÖ®ºó¡£
ÕýÈçÔÚǰһ½ÚÖÐÌáµ½µÄ£¬ÈôÊÇLLOQУ׼µãʧ°ÜÇÒ±ØÐè±»ÆÁÕÏ£¬¶¨Á¿¹æÄ£¾Í½Ø¶Ïµ½ÏÂÒ»¸ö×îµÍµÄУ׼µã¡£ÔÚÕâÖÖÇéÐÎÏ£¬LQCÈÔ±ØÐèÓɿɽÓÊܵÄУ׼ÑùÆ·°üÀ¨ÔÚÄÚ£¨bracketed£©£¬²»È»¼ì²âʧ°Ü¡£ÈôÊÇÊÇULOQʧ°Ü£¬ÇúÏßµÄÉ϶ËÏòÏÂÒÆ¶¯µ½ÏÂÒ»¸ö¿É½ÓÊܵÄУ׼µã£¬ÇÒ±ØÐè°üÀ¨ÔڿɽÓÊܵÄУ׼ÑùÆ·ÄÚ£¬²»È»¼ì²âҲͬÑùʧ°Ü¡£ÈôÊÇÑù±¾µÄ²â¶¨ÖµµÍÓÚLLOQ»ò¸ßÓÚULOQ£¬Ôò±ØÐèµ÷½âÑù±¾µÄÏ¡Êͱ¶Êý£¬ÔÙÖØÐÂÆÊÎö¸ÃÑùÆ·£¬Ê¹Æä²â¶¨ÖµÂäÔÚ¶¨Á¿¹æÄ£ÄÚ¡£
LBAУ׼ÇúÏß¿ÉÄÜÈÝÒ×ËæÊ±¼ä±¬·¢Ð£×¼Æ¯ÒÆ¡£Ð£×¼ÇúÏßÐÔÄܵį¯Òƽç˵ΪÓÉÓڲαȱê׼Ʒ¡¢ÆÊÎöÊÔ¼ÁºÍÆäËû²âÊÔ×é·ÖµÄ·´Ó¦ÐÔ»òÁ¬ÏµÌØÕ÷µÄת±ä¶øµ¼ÖµÄÐ£×¼Æ«ÒÆ¡£ÕâÖÖת±ä¿ÉÄÜ»á¸Ä±äУ׼ÇúÏßµÄбÂÊ»òÆäËûÐÔ×Ó£¬×îÖÕµ¼ÖÂÑù±¾µÄŨ¶È±¨¸æÎª¹ý¸ß»ò¹ýµÍ¡£Í¬Ê±£¬¸ÃÒªÁìµÄ¶¨Á¿ÉÏÏÞºÍÏÂÏÞ£¬»òÑù±¾µÄÏ¡ÊÍÏßÐÔ£¬Ò²¿ÉÄܱ¬·¢×ª±ä¡£
¿ÉÄܵ¼ÖÂУ׼ÇúÏßÐÔÄÜÆ¯ÒƵÄÒòËØ°üÀ¨µ«²»ÏÞÓÚ£º(a)ÐÂÅú´ÎµÄ»ìÏý»ùÖÊ£»(b)Òªº¦ÊÔ¼ÁÌØÕ÷£¨Èç´¿¶È¡¢ÌØÒìÐԺͲ¶»ñ»ò¼ì²â¿¹ÌåµÄÁ¬ÏµÇ׺ÍÁ¦£©µÄת±ä£»(c)º¬ÓÐÂѰ×ÖÊ»òÖ¬ÖÊÌí¼Ó¼Á»òÔØÌåµÄ·ÇÒªº¦ÊÔ¼ÁµÄÐÔÄÜת±ä£»ÒÔ¼°(d)¶Ô²Î±È±ê׼ƷÅä·½µÄÐ޸ġ£Ó¦ÔÚÒªÁ쿪·¢µÄÔçÆÚ¾Í×îÏȼà²âУ׼ÇúÏßµÄÐÔÄÜ£¬²¢ÔÚÑо¿Ç°ÑéÖ¤ºÍÑùÌìÖ°Îö½×¶Î¼ÌÐø¾ÙÐС£±ðµÄ£¬ÔÚ¶à¸öÁÙ´²Ñо¿µÄʱ¼ä¿ç¶ÈÉÏ£¬¸ú×ÙÐ£×¼Æ¯ÒÆÊÇÖÁ¹ØÖ÷ÒªµÄ¡£¿ÉÊÇ£¬ÏÖÔÚ»¹Ã»ÓÐÓÃÓÚ¼à²âУ׼ÇúÏßÐÔÄܵĹ²Ê¶»òÒѾ½¨ÉèµÄÒªÁì¡£
¼à²âУ׼ÇúÏ߯¯ÒƵĽ¨Òé°üÀ¨:
Ö¼ÔÚÈ·¶¨Ò©ÎïŨ¶ÈÒÔÖ§³ÖÒ©´ú¶¯Á¦Ñ§Ñо¿µÄ£¬¸ßÖÊÁ¿ºÍ¿É¿¿µÄÅäÌåÁ¬Ïµ²âÊÔÒªÁ죨LBA£©ÔÚÉúÎïÒ©µÄ¿ª·¢Àú³ÌÖÐÆð×ÅÖÁ¹ØÖ÷ÒªµÄ×÷Óá£Ôڵ䷶µÄLBAÒªÁìÖУ¬Ê¹ÓÃУ׼ÇúÏßͨ¹ýÄÚ²åÖµ£¨interpolate£©²â¶¨ÖÊÁ¿¿ØÖÆÑùÆ·ºÍδ֪ÑùÆ·ÖеÄÒ©ÎïŨ¶È¡£¶Ô´ó´ó¶¼LBAÒªÁ죬Ԥ¼Æ²âÊÔÐźÅÓëÒ©ÎïŨ¶ÈµÄ¹ØÏµÊÇ·ÇÏßÐԵġ£Òò´Ë£¬½¨ÒéÓ¦Óöà²ÎÊý£¬Í¨³£Îª4»ò5²ÎÊýLogistic regression (4PL»ò5PL)µÄÊýѧҪÁ죬ÔÚ¶¨Á¿¹æÄ£ÄÚ£¬ÄâºÏÖÁÉÙ6¸öУ׼ÑùÆ·µÄÊý¾ÝµãÒÔ»ñµÃУ׼ÇúÏß¡£¿É˼Á¿Ê¹ÓÃÆäËûУ׼ÑùÆ·£¨°üÀ¨Áãµã»òÆäËû궨µã£©À´Ìá¸ßÇúÏßÄâºÏµÄÖÊÁ¿¡£
Ӧƾ֤Ãé׼ȷ¶ÈÇúÏߣ¨accuracy profile£©µÄÆÊÎö£¬Ñ¡Ôñ×îÊʵ±ºÍ×î¼òÆÓµÄ»Ø¹éÄ£×Ó£¨¿ÉÄÜÓ¦ÓüÓȨÒò×Ó£¬weighting factor£©µÄÏà¹Ø»Ø¹éÆÊÎöµÄÈí¼þ£¬×÷ΪʵÑéÊÒÐÅÏ¢ÖÎÀíϵͳµÄÒ»²¿·Ö£¬»ò×÷ΪÒÇÆ÷Êý¾ÝÆÊÎö°üµÄÒ»²¿·Ö£¬»ò×÷Ϊ×ÔÁ¦Èí¼þ°ü¶¼¿ÉÒÔÌṩÕâÑùµÄÊý¾ÝÆÊÎö¡£Ð£×¼ÇúÏßµÄÖÊÁ¿ÒÔ¼°×îÖÕ²âÊÔЧ¹ûµÄÖÊÁ¿¸ß¶ÈµØÒÀÀµÓÚУ׼ÑùÆ·µÄÖÆ±¸Àú³Ì¡¢ËùʹÓõÄÑù±¾»ùÖʵÄÀàÐÍÒÔ¼°Ð£×¼ÑùÆ·µÄÖü´æÌõ¼þ¡£FDA¡¢EMA¡¢MHLWºÍANVISAÐû²¼µÄ»ú¹¹Ö¸ÄÏÔÚ²î±ðˮƽÉÏÌÖÂÛÁËУ׼ÇúÏß²ÎÊý¼°ÆäÐÔÄÜÒªÇ󣬯äÖÐÐí¶àÒªÇóÊÇÏ໥һֵ쬵«Ò²±£´æÒ»Ð©²î±ð¡£
±¾ÎÄÖ¼ÔÚÐÎò¾ÙÐлعéÄ£×ÓÑ¡Ôñ¡¢Ð£×¼ÇúÏßÉè¼ÆºÍÊý¾ÝÆÊÎöµÄÒªÁ죬Ö÷ҪĿµÄÊÇ×ÊÖú¶ÁÕß¿ª·¢¸ßÖÊÁ¿µÄÉúÎïÒ©¶¨Á¿ÆÊÎöÒªÁ죬ÒÔÖ§³Ö·ÇÁÙ´²ºÍÁÙ´²Ò©´ú¶¯Á¦Ñ§Ñо¿¡£ÎÄÖл¨Á˽ϴóµÄÎÄ×ÖÏêϸÌÖÂÛµÄÒ»¸öÖ÷ÒªÄÚÈÝÊÇÓë±à¼Ð£×¼ÇúÏߵĹ淶ºÍÊʵ±¹æÔòÓйء£Í¬Ê±ÌṩÁ˹ØÓÚ±à¼Ð£×¼ÇúÏߵĽ¨Ò飬ÕâЩ½¨Òé×ñÕÕ¿ÆÑ§ÉϽ¡È«£¬Í¬Ê±Ò²ÇкÏÐÐÒµÀÏÀýµÄÔÔò¡£ËäÈ»£¬ÆäËûÒªÁìÒ²¿ÉÒÔ£¬ÈôÊÇÆä¿ÆÑ§ÐÔºÍÊÊÓÃÐÔ±»Ö¤ÊµÊÇ¿ÉÒÔ½ÓÊܵġ£
±¾ÎÄÈôÓÐÊ詺ÍÎó¶ÁÏà¹ØÖ¸ÄϺÍÊý¾ÝµÄµØ·½£¬Çë¶ÁÕß̸ÂÛºÍÖ¸Õý¡£ËùÓÐÒýÓõÄÔʼÐÅÏ¢ºÍ×ÊÁϾùÀ´×ÔÒѾ½ÒÏþѧÊõÆÚ¿¯¡¢¹Ù·½ÍøÂ籨µÀµÈ¹ûÕæÇþµÀ, ²»Éæ¼°Èκα£ÃÜÐÅÏ¢¡£²Î¿¼ÎÄÏ×µÄÑ¡Ôñ˼Á¿µ½¶àÑù»¯µ«Ò²²»¿ÉÄÜÍêÕû¡£½Ó´ý¶ÁÕßÌṩÓмÛÖµµÄÎÄÏ×¼°ÆäÆÀ¹À¡£


19.U.S. Food and Drug Administration, Title 21 of the U.S. Code of Federal Regulations: 21 CFR 11 ¡°Electronic Records; Electronic Signatures¡±, Aug 2003.https://www.accessdata.fda.gov/scripts/cdrh/cfdocs/cfCFR/CFRSearch.cfm.

ÔÁ¹«Íø°²±¸ 44011202001884ºÅ

ÔÁ¹«Íø°²±¸ 44011202001884ºÅ